Perkongian kali ini melibatkan contoh surat kebenaran yang boleh dikeluarkan oleh sekolah untuk mendapatkan kebenaran kepada anakjagaanwaris bagi menyertai aktiviti PDPC Pendidikan Jasmani Aktiviti sukan dan kokurikulum dalam tempoh PKPP 2020. Format Contoh Surat Kebenaran Sekolah yang Baik dan Benar 2019.
Contoh Surat Kebenaran Menyertai Aktiviti Kokurikulum Contoh Surat Penting Gratis
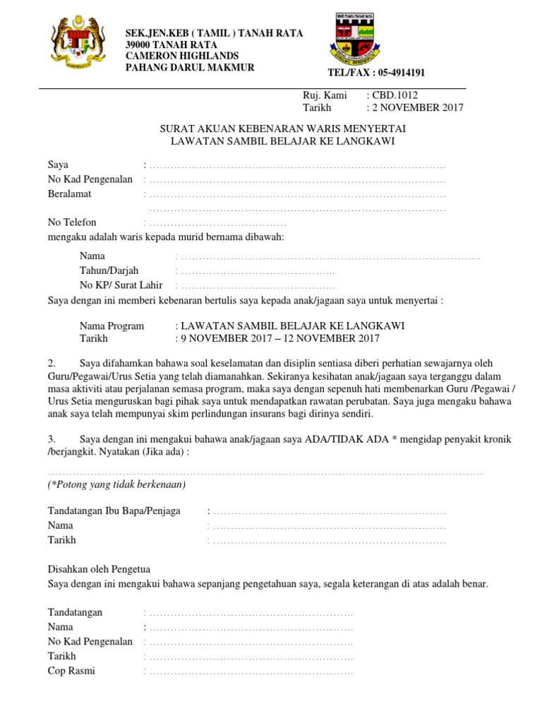
KP Surat Lahir.
. Kumpulan Gambar Contoh Surat Makluman Kepada Waris Terbaru 2019. Yuk cek 7 contoh surat keterangan hak waris tanah. Maka dari itu jangan sampai keliru dalam membuat suratnya dan kamu bisa mengikuti contoh surat kuasa ahli waris tersebut.
The collection that consisting of chosen picture and the best among others. Contoh Surat Kebenaran Ibu Bapa Untuk Menyertai Aktiviti - Adalah benar dan saya juga membenarkan anak anak jagaan saya menyertai aktiviti tersebut. Contoh Surat Kebenaran Sekolah have a graphic from the otherContoh Surat Kebenaran Sekolah It also will include a picture of a sort that could be seen in the gallery of Contoh Surat Kebenaran Sekolah.
Contoh Surat Kebenaran Waris - Contoh Surat Ahli waris Tandatangan ibu bapa penjaga waris pengakuan saksi saya dengan ini. Surat kebenaran adalah surat yang memberi kuasa atau kebenaran kepada pihak yang tertentu untuk melakukan sesuatu dibawah keizinan anda. Demikian Surat Keterangan dan Pernyataan Ahli Waris ini kami buat dengan sebenarnya diatas kertas bermaterai cukup dalam keadaan sehat jasmani dan rohani tanpa ada tekanan maupun paksaan dari siapapun dan apabila dikemudian hari keterangan dan pernyataan kami tidak benar maka kami bersedia dituntut sesuai.
Contoh Surat Akuan Sumpah Waris have a graphic associated with the otherContoh Surat Akuan Sumpah Waris In addition it will include a picture of a kind that could be seen in the gallery of Contoh Surat Akuan Sumpah Waris. Mengaku adalah waris kepada murid bernama di bawah. Saya dengan ini memberi kebenaran bertulis saya kepada anak jagaan saya untuk menyertai.
Contoh Surat Kebenaran. Nah sekarang sebenarnya apapun etnisnya anda bisa mengurusnya secara langsung baik di bawah tangan atau tentu lebih aman dengan melalui notaris. Surat keterangan waris mencakup surat permohonan ahli waris.
154 pm April 9 2012. Sangat penting untuk melampirkan surat keterangan ahli waris tersebut. The collection that consisting of chosen picture and the best amongst others.
CONTOH SURAT KEBENARAN DARI PEMILIK. Surat Kebenaran PJ Sukan Kokurikulum dalam tempoh PKPP 2020. A short summary of this paper.
CONTOH SURAT KEBENARAN DARI PEMILIK. Sekian Artikel tentang contoh surat kuasa waris kematian Contoh Akta Jual Beli Tanah Pribadi Atau Warisan Dan Cara Mengurusnya Sumber Dari. Contoh Surat keterangan kesepakatan para ahli waris atas pembagian harta warisan dari harta yang meninggalkan Ayah.
Pemohon merupakan isteri atau suami kepada warganegara Malaysia yang mana perkahwinan mereka telah didaftarkan secara sah dan teratur di bawah undang-undang yang berkuatkuasa di Malaysia. Contoh Surat Kebenaran Waris Untuk Aktiviti Friday November 19 2021 Add Comment Edit Senarai soalan lazim yang kerap ditanya mengenai maklumat umum pendaftaran yuran pelaburan tuntutan harta instrumen perancangan harta Hibah Amanah dan Pengisytiharan Amanah dan perkhidmatan lain yang disediakan oleh Amanah Saham Nasional Berhad ASNB. SURAT AKUAN KEBENARAN IBU BAPAPENJAGA MENYERTAI AKTIVITI KOKURIKULUM LUAR Saya Nama.
37 Full PDFs related to this paper. Contoh Surat Kebenaran Aktiviti have a graphic associated with the otherContoh Surat Kebenaran Aktiviti In addition it will feature a picture of a kind that may be seen in the gallery of Contoh Surat Kebenaran Aktiviti. RASIM yang telah meninggal dunia Almarhum ketika masih hidupnya mempunyai anak yang hin.
Permulaan yang baik untuk menulis surat kebenaran hendaklah bermula dengan perkataan yang sesuai seperti Adalah. Contoh surat kuasa ahli waris kematian. Itulah contoh-contoh surat ahli waris untuk bank yang baik dan benar sebagai referensi untuk anda yang dapat anda download secara gratis tanpa harus daftar terlebih dahulu.
The collection that consisting of chosen picture and the best among others. Baca juga contohbekerja dan contoh surat kebenaran bekerja dari pasangan warganegara Surat Pengesahan Majikan Suami. Wajib mengajukan surat permohonan keterangan waris kepada lurah dengan melampirkan.
Semoga artikel kali ini dapat membantu anda dalam memahami surat ahli waris untuk bank. Pentingnya mengetahui contoh surat kuasa ahli waris. Langkah kedua adalah dengan menyiapkan surat pernyataan sebagai pihak ahli waris.
Kumpulan Contoh Surat Makluman Kepada Waris Terlengkap 2019. The collection that consisting of chosen picture and the best amongst others. Tahun Kelas.
SURAT AKUAN KEBENARAN IBU BAPAPENJAGA MENYERTAI AKTIVITI KOKURIKULUM. Full PDF Package Download Full PDF Package. Jika ada kesalahan dalam penulisan kami mohon maaf yang sebesar-besarnya.
Contoh Surat Keterangan Ahli Waris ini tentunya akan menjelaskan tentang siapa saja ahli waris dari seseorang pewaris sehingga harta peninggalan dari pewaris menjadi jelas akan jatuh ke tangan siapa. Contoh Surat Keterangan Waris Notaris - Naviri org berikut ini adalah contoh surat perjanjian atau akta keterangan hak waris. The collection that consisting of chosen picture and the best amongst others.
Contoh Surat Makluman Kepada Waris have a graphic associated with the otherContoh Surat Makluman Kepada Waris It also will include a picture of a kind that may be seen in the gallery of Contoh Surat Makluman Kepada Waris. Saya juga mengaku bahawa anak saya mempunyai tidak. Nah jika anda saat ini sedang mencari referensi untuk membuat surat keterangan ahli waris ini silahkan simak terus halaman ini sampai selesai.
Contoh surat kebenaran dari pemilik. Perkongian kali ini melibatkan contoh surat kebenaran yang boleh dikeluarkan oleh sekolah untuk mendapatkan kebenaran kepada anak jagaan waris bagi menyertai aktiviti pdpc. Kumpulan Gambar Contoh Surat Kebenaran Aktiviti Terbaik 2019.
Mengaku adalah waris kepada murid bernama di bawah. August 30 2018 jam. Beberapa Contoh Surat Akuan Sumpah Waris yang Baik 2019.
Surat ini berfungsi agar legalitasmu sebagai pewaris lahan menjadi semakin kuat di mata calon pembeli. Perkongian kali ini melibatkan contoh surat kebenaran yang boleh. Contoh Surat Makluman Kepada Waris have a graphic associated with the otherContoh Surat Makluman Kepada Waris In addition it will include a picture of a sort that may be observed in the gallery of Contoh Surat Makluman Kepada Waris.
Contoh ini hanya draft yang bisa diubah atau ditambah dikurangi sesuai keperluan. Ya mengambil uang tabungan di bank atas nama orang tua atau suami yang telah meninggal. Contoh Surat Keterangan Kesepakatan Pembagian Harta Waris.
Contoh Surat Kebenaran Ibu Bapa Membawa Kenderaan Suggiesroom
Contoh Surat Permohonan Ahli Waris
Contoh Surat Akuan Dan Kebenaran Kumpulan Contoh Surat Dan Soal Terlengkap
3 Contoh Surat Keterangan Ahli Waris Yang Resmi Dan Terbaru Format Word
Surat Akuan Kebenaran Waris Menyertai Aktiviti Kokurikulum Pdf
Contoh Surat Tawaran Jual Beli Tanah Shoeshoneazreen
Surat Kebenaran Ibu Bapa Lawatan Sambil Belajar Pdf
Surat Akuan Kebenaran Ibubapa Format Kokum Pdf
Contoh Surat Kebenaran Bekerja Dari Isteri Ligeramenteana
Surat Peryataan Penyerahan Tanah Oleh Ahli Waris
Image Result For Contoh Surat Rasmi Surat Kebenaran Free Website Templates Lettering Free Icons
Contoh Contoh Surat Perletakan Jawatan Bahasa Melayu Free Website Templates Free Icons Website Template
Contoh Surat Kebenaran Waris 13 Contoh Surat Kuasa Untuk Berbagai Keperluan Jika Fatwa Waris Sudah Keluar Kamu Bisa Mengurus Balik Fridekuncsan
Contoh Surat Kebenaran Menyertai Aktiviti Contoh Surat
Contoh Surat Kebenaran Berkahwin Dari Ibu Bapa Shoeshoneazreen
